Bellman-Ford 알고리즘
밸만-포드 알고리즘은 다익스트라에서 할 수 없었던 음의 가중치도 계산할 수 있도록 한 방법이다. 그러므로 밸만포드도 다익스트라와 마찬가지로 단일노드 s에서 출발해 그래프 내의 모든 다른 노드에 도착하는 가장 짧은 경로를 찾는 문제이다. 하지만 다익스트라 알고리즘보다 시간복잡도가 높으므로 상황에 맞게 이용해야한다.
개념
시작노드 s에서 도착노드 v까지 이르는 최단 경로는 s에서 u까지의 최단경로 + u에서 v사이의 가중치를 더한 값이다.
D(s,v) = D(s,u) + W(u,v)
밸만-포드 알고리즘은 s와 u사이의 최단 거리를 구할 때, 그래프 내 모든 edge에 대해서 edge relaxation 을 수행해준다.
밸만-포드 알고리즘에서는 모든 엣지에 대한 edge relaxation을 |V|-1
회 수행한다.
edge relaxation 이란?

기존의 d(z)가 75였는데 탐색 과정에서 d(u)+e = 60으로 길이가 더 짧을 때, 노드와 엣지의 정보를 업데이트 해주는 것을 말한다.
예시

모든 엣지에 대한 edge relaxation을 1회 수행한 것이다. edge relaxation을 수행할 때 거리 정보 뿐만아니라 최단경로 또한 update합니다.
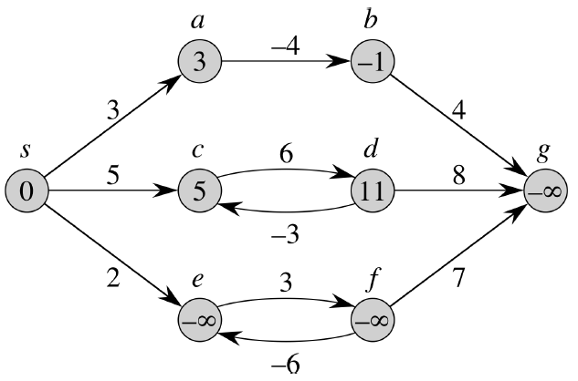
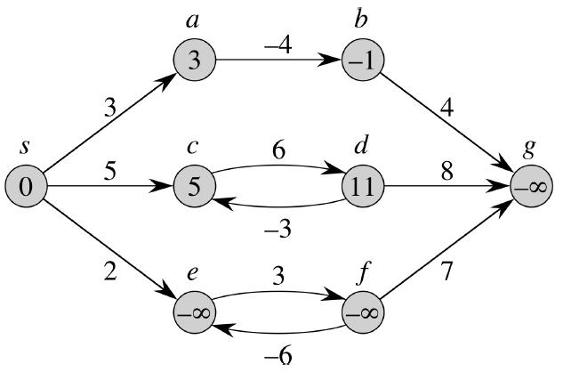
Negative Cycle

음수 가중치가 사이클을 이루고 있는 경우에는 밸만-포드 알고리즘은 작동하지 않는다.
위의 그림에서 c,d와 e,f가 사이클을 이루고 있는 것을 볼 수 있다. c, d 의 경우에는 사이클을 돌수록 distance가 커져서 최단 경로를 구할 때 문제가 되지 않지만, e,f 의 경우에는 사이클을 돌수록 distance가 작아져서 최단 경로를 구하는 것이 의미가 없어진다.
초깃값 설정을 한다. (시작정점 / 시작정점외 정점들)
edge relaxation : 첫번째 반복을 한다. 최단거리를 찾기위함. (정점의개수(V)-1 번 (모든간선 순회) )
두번째 반복을 한다. 음의사이클 판정하기 위함.
구현
#include <stdio.h>
#include <stdlib.h>
#include <limits.h>
typedef struct edge{
int src, dest, weight;
}Edge;
typedef struct graph{
// V는 정점의 수 , E는 edge의수
int V,E;
Edge * edge;
}Graph;
Graph * create_graph(int V, int E){
Graph * g = (Graph*)malloc(sizeof(Graph));
g->V=V; g->E=E;
g->edge = (Edge*)malloc((g->E)*sizeof(Edge));
return g;
}
void print_array(int dis[], int n){
printf("정점\t\t시작점으로부터거리\n");
for(int i =0;i<n;i++)
printf("%d\t\t\t%d\n",i,dis[i]);
}
void bellman(Graph * graph, int src){
int v,u,weight;
int V = graph->V;
int E = graph->E;
int distance[V];
// 1단계 : 시작점으로 부터 거리 배열을 INT_MAX로 초기화
// 단, 출발점에서 출발점으로 거리는 0이다.
for(int i=0;i<V;i++)
distance[i]=INT_MAX;
distance[src]=0;
// 2단계 : edge relaxation을 모든 엣지에 대해 |v|-1번 해준다.
for(int i=1;i<=V-1;i++){
for(int j=0;j<E;j++){
u = graph->edge[j].src;
v = graph->edge[j].dest;
weight = graph->edge[j].weight;
if(distance[u]!=INT_MAX && distance[u]+weight<distance[v])
distance[v] = distance[u]+weight;
}
}
// 3단계 : 음수사이클이 있는지 검사해준다.
for(int i=0;i<E;i++){
u = graph->edge[i].src;
v = graph->edge[i].dest;
weight = graph->edge[i].weight;
if(distance[u]!=INT_MAX && distance[u]+weight<distance[v])
printf("그래프가 음수 사이클을 포함하고 있습니다.\n");
}
print_array(distance, V);
}
int main(){
int V = 5;
int E = 8;
Graph * graph = create_graph(V, E);
graph->edge[0].src = 0;
graph->edge[0].dest = 1;
graph->edge[0].weight = -1;
graph->edge[1].src = 0;
graph->edge[1].dest = 2;
graph->edge[1].weight = 4;
graph->edge[2].src = 1;
graph->edge[2].dest = 2;
graph->edge[2].weight = 3;
graph->edge[3].src = 1;
graph->edge[3].dest = 3;
graph->edge[3].weight = 2;
graph->edge[4].src = 1;
graph->edge[4].dest = 4;
graph->edge[4].weight = 2;
graph->edge[5].src = 3;
graph->edge[5].dest = 2;
graph->edge[5].weight = 5;
graph->edge[6].src = 3;
graph->edge[6].dest = 1;
graph->edge[6].weight = 1;
graph->edge[7].src = 4;
graph->edge[7].dest = 3;
graph->edge[7].weight = -3;
bellman(graph, 0);
return 0;
}
단점
음수 가중치가 있는 경우 최단 거리를 구할 수 있지만 사이클이 있는 경우에는 작동하지 않는다.
시간복잡도
그래프에서 노드가 V개, 엣지가 E개 라면 시간복잡도는 O(VE)이다.
참조페이지
Last updated
Was this helpful?