Tree
트리(tree)는 사이클이 없는 그래프로 계층적인 구조(나를 기준으로 위아래 관계가 있다는 것)를 나타내는 자료구조이다.
정점(node)의 개수 : V
간선(edge)의 개수 : V-1
그렇다면 정점이 V개 간선이 V-1개라면 트리일까? No! 모든 정점이 연결되어 있다면 tree이다.
트리는 1:n 관계를 가지는 비선형 구조이다.
트리의 용어
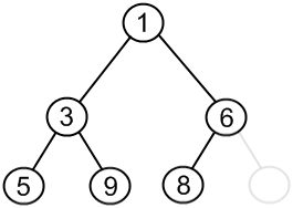
( 위의 그림을 기준으로 설명 )
정점/노드(node) : 트리의 구성요소( A, B, C, D, E, F, G, H, I, J )
루트(root) : 부모가 없는 노드, 트리의 시작 노드 ( A )
간선(edge, link) : 노드와 노드를 연결하는 선 (A,B), (A,C), ...
서브트리(subtree) : 하나의 노드와 그 노드의 자손으로 이루어진 트리
부모 노드와 연결된 링크를 끊어 생성되는 트리이다.
각 노드는 자식 노드의 개수만큼 서브트리를 갖는다.
형제노드(sbling node) : 부모노드가 같은 자식 노드들
B-C , D-E, F-G, H-I
조상노드( ancestor ) : 간선을 따라 루트 노드 경로에 있는 모든 노드들
H의 조상노드 : D, B, A
자식노드( descendants ) : 서브트리에 있는 하위 레벨의 노드
B의 자식노드 : D, E, H, I, J


레벨(level) : 트리의 각 층의 번호(루트의 level을 0으로 하는 경우와 1로하는 경우가 있다.)
깊이(depth) : 루트에서부터 거리
root에서부터 해당노드까지의 edge or node 개수
높이(height) : 단말노드에서 부터 거리
노드의 높이 : 노드에서 단말노드에 이르는 edge의 개수
트리의 높이 : 깊이 중 가장 큰 값
Empty(null) tree의 height = -1 (왜냐하면 height는 포인터가 아니라 숫자로 표현하기 때문에!)
Single-element tree의 height = 0
차수(degree) : 노드가 가지고 있는 자식 노드의 개수
A의 degree : 3 / B의 degree : 2
트리의 차수 : 트리에 있는 노드의 차수 중 가장 큰 값
단말노드(terminal, external, leaf node) : degree / height가 0인 노드, 자식노드가 없는 노드이다.
비단말노드(nonterminal, internal node) : 적어도 하나의 자식을 가지는 노드
포리스트(forest) : 서브트리의 집합
트리 A에서 A를 제거하면 자식노드 B, C에 대한 서브트리가 생기고, 이들의 집합은 forest가된다.
Performance of Tree Operation
size, isEmpty
O(1)
elements, nodes
O(n)
replace
O(1)
root, parent
O(1)
children(v)
O(Cv)
isInternal, isExternal, isRoot
O(1)
모든 연산의 시간 복잡도는 n번 이내에 끝나서 엄청 빠른 구조이다.
Non-Binary Tree

non-binary tree의 노드는 element, parent node, children의 리스트를 가지고 있는 연결 리스트 구조이다.
Binary Tree(이진 트리)
자식을 최대 2개만 가지고 있는 트리를 이진트리(binary tree)라고한다.
A A
/ != \
B B값이 같더라도 왼쪽 트리와 오른쪽 트리는 다른 트리로 본다.
자식이 최대 2개이므로 모든 노드의 degree는 2이하이다. (=subtree 최대 2개)
구현이 편리하다.
Decision tree / 연산방식 / Search에 많이 사용
Binary Tree 성질
노드의 개수가 n개이면, 간선의 수는 n-1개이다.
높이(height)가 h인 이진트리의 자식 노드 수
최대 2^h -1
최소 h
n개의 노드를 가지는 이진트리의 높이
최대 n
최소 log(n+1)
Binary Tree 종류
Full Binary Tree (= Proper binary tree)
모든 노드가 0개 또는 2개의 자식 노드를 갖는 트리
Complete Binary Tree
마지막 레벨을 제외하고 모든 레벨이 완전히 채워져 있으며, 마지막 레벨의 모든 노드는 가능한 한 가장 왼쪽에 있다. 마지막 레벨 h에서 1부터 2h-1 개의 노드를 가질 수 있다. 또 다른 정의는 가장 오른쪽의 잎 노드가 (아마도 모두) 제거된 포화 이진 트리다. 어떤 저술자는 **완전(complete)**라는 용어를 사용해 위에서 정의한 포화 이진 트리 대신, 이러한 종류의 트리를 거의 완전한(almost complete) 이진 트리 또는 대체로 완전한(nearly complete) 이진 트리라고 하는 경우도 있다. 완전 이진 트리는 배열을 사용해 효율적으로 표현 가능하다.(위키피디아)
Perfect Binary Tree
모든 내부 노드가 두 개의 자식 노드를 가지며 모든 잎 노드가 동일한 깊이 또는 레벨을 갖는다.
Skewed Binary Tree
한쪽으로 기울어진 트리이다.
Link 방법 구현
#include <stdio.h>
#include <stdlib.h>
#define MAX(a,b) (((a)>(b))?(a):(b))
typedef struct node{
int data;
struct node *left, *right;
}Node;
Node * new_node(int data){
Node * new = (Node *)malloc(sizeof(Node));
new->data = data;
new->left = NULL;
new->right = NULL;
return new;
}height
int get_height(Node * node){
int height = -1;
if(node!=NULL)height = 1 + MAX(get_height(node->left),get_height(node->right));
return height;
}노드 수
int get_node_count(Node * node){
int count = 0;
if(node!=NULL)count = 1 + get_node_count(node->left)+get_node_count(node->right);
return count;
}노드 data의 합 + 과정
int calc_direc_size(Node *node, char *s)
{
int left_size=0, right_size=0;
printf("%s ",s);
if (node==NULL) { printf(" NULL return \n");return 0;}
else {
printf(" node : %d \n", node->data);
left_size += calc_direc_size(node->left,"left");
right_size += calc_direc_size(node->right,"right");
return (node->data +left_size + right_size);
}
}노드의 level
int node_level(Node *node, int key, int level)
{
int downlevel;
if (node == NULL)return -1;
// node의 데이터 찾는 데이터가 같다면 level을 리턴해준다.
if (node->key == key) return level;
// tree의 왼쪽 노드 level이 내려갈 수록 +1씩 해준후 그 값을 저장 리턴
downlevel = node_level(node->left, key, level+1);
if (downlevel != -1) return downlevel;
// tree의 오른쪽 노드 level이 내려갈 수록 +1씩 해준후 그 값을 저장
downlevel = node_level(node->right, key, level+1);
return downlevel;
}트리의 표현
트리의 부모만 저장하는 방식
트리의 모든 노드는 부모를 하나 또는 0개만 가지기 때문에 부모만 저장하는 방식으로 저장할 수 있다.

parent[i]
0
-1
1
-1
3
1
-1
6
3
장점 : 한 노드의 부모 노드를 바로 찾을 수 있다.
단점 : 자식노드를 찾기 힘들다.
배열 표현(이진 트리)

이진 트리의 경우에는 배열로 표현할 수 있다.
부모의 노드가 x인 경우에 자식노드는 왼쪽, 오른쪽 (2*x, 2*x+1) 로 나타내면된다. (주의사항 index는 1부터 시작!한다는 점을 주의해야한다.)
노드 x의 부모 노드 인덱스는 x/2로 알 수 있다.

다음 (a)의 이미지처럼 한 방향으로만 있을 때 5개의노드를 저장하기위해서 배열 크기가 10이 필요하므로 비효율적이다.
이런 경우는 아래와 같은 perfect binary 트리에서 효율적이다.

이차원배열
A[i][0] = i의 왼쪽 자식
A[i][1] = i의 오른쪽 자식다음과 같이 저장할 수 있다. 이런 경우는 많이 사용하지 않는다.
Link

포인터를 이용하여 부모노드가 자식노드를 가리키게 하는 방법이다.
Tree Traversal(트리의 순회)
트리의 모든 노드를 방문하는 순서이다.
그래프(11. Graph )의 경우에는 DFS와 BFS 가 있었다. 트리에서도 두 방법을 사용할 수 있지만, 트리에서만 사용할 수 있는 3가지 방법이 있다. 세 방법의 차이는 노드 방문을 언제 하냐의 차이 이다.

Preorder(전위 순회)
노드 방문(pre)
왼쪽 자식 노드를 루트로 하는 서브 트리 프리오더
오른쪽 자식 노드를 루트로 하는 서브 트리 프리오더
프리 오더는 그래프의 DFS와 순서가 같다.
Inorder(중위순회)
왼쪽 자식 노드를 루트로 하는 서브 트리 프리오더
노드 방문(in)
오른쪽 자식 노드를 루트로 하는 서브 트리 프리오더
Binary Search Tree에서 Delete 구현시 주로 사용
Postorder(후위순회)
왼쪽 자식 노드를 루트로 하는 서브 트리 프리오더
오른쪽 자식 노드를 루트로 하는 서브 트리 프리오더
노드 방문(post)
file 드라이브에서 드라이브 용량을 계산할 때 사용되는 방법
이진트리가 아닌 경우에는 preorder와 postorder만 구현할 수 있다.
Binary Tree Traversal 구현
linked list
void preorder(Node * node){
if (node == NULL)
return;
printf("%d ", node->data);
preorder(node->left);
preorder(node->right);
}
void inorder(Node * node)
{
if (node == NULL)
return;
inorder(node->left);
printf("%d ", node->data);
inorder(node->right);
}
void postorder(Node * node){
if (node == NULL)
return;
postorder(node->left);
postorder(node->right);
printf("%d ", node->data);
}첫째 줄에는 이진 트리의 노드의 개수 N(1≤N≤26)이 주어진다. 둘째 줄부터 N개의 줄에 걸쳐 각 노드와 그의 왼쪽 자식 노드, 오른쪽 자식 노드가 주어진다. 노드의 이름은 A부터 차례대로 영문자 대문자로 매겨지며, 항상 A가 루트 노드가 된다. 자식 노드가 없는 경우에는 .으로 표현된다.
#include <iostream>
using namespace std;
int A[26][2];
void preorder(int x){
if(x==-1) return;
cout << char(x+'A');
preorder(A[x][0]);
preorder(A[x][1]);
}
void inorder(int x){
if(x==-1) return;
inorder(A[x][0]);
cout << char(x+'A');
inorder(A[x][1]);
}
void postorder(int x){
if(x==-1) return;
postorder(A[x][0]);
postorder(A[x][1]);
cout << char(x+'A');
}
int main(int argc, const char * argv[]) {
int n; //노드의 수
scanf("%d",&n);
while(n--){
char node, left, right;
cin>>node>>left>>right;
node -= 'A';
if(left == '.'){
A[node][0]=-1;
}else{
A[node][0]=left-'A';
}
if(right == '.'){
A[node][1]=-1;
}else{
A[node][1]=right-'A';
}
}
preorder(0);
printf("\n");
inorder(0);
printf("\n");
postorder(0);
printf("\n");
}트리의 탐색
트리의 탐색은 DFS/BFS 알고리즘을 이용해서 할 수 있다. (13. DFS와 BFS 참조)
트리는 사이클이 없는 그래프이기 때문에 임의의 두 정점 사이의 경로는 1개이다. 따라서 BFS 알고리즘을 이용해서 최단 거리를 구할 수 있다.
루트 없는 트리가 주어진다. 이 때, 트리의 루트를 1이라고 정했을 때, 각 노드의 부모를 구하는 프로그램을 작성하시오.
입력 : 첫째 줄에 노드의 개수 N (2 ≤ N ≤ 100,000)이 주어진다. 둘째 줄부터 N-1개의 줄에 트리 상에서 연결된 두 정점이 주어진다.
출력 : 첫째 줄부터 N-1개의 줄에 각 노드의 부모 노드 번호를 2번 노드부터 순서대로 출력한다.
#include <cstdio>
#include <algorithm>
#include <cstring>
#include <vector>
#include <queue>
using namespace std;
vector<int> a[100000];
bool check[100000];
int depth[100000];
int parent[100000];
void bfs(){
queue<int> q;
depth[1]=0;parent[1]=0;
check[1]=true;
q.push(1);
while (!q.empty()) {
int x = q.front();
q.pop();
for(int y : a[x]){
if (check[y] == false) {
depth[y]=depth[x]+1;
check[y] = true;
parent[y]=x;
q.push(y);
}
}
}
}
int main() {
int n;
scanf("%d",&n);
for (int i=0; i<n-1; i++) {
int u,v;
scanf("%d %d",&u,&v);
a[u].push_back(v);
a[v].push_back(u);
}
bfs();
for(int i=2;i<=n;i++){
printf("%d\n",parent[i]);
}
return 0;
}참고자료
https://www.geeksforgeeks.org/
Last updated
Was this helpful?