Graph
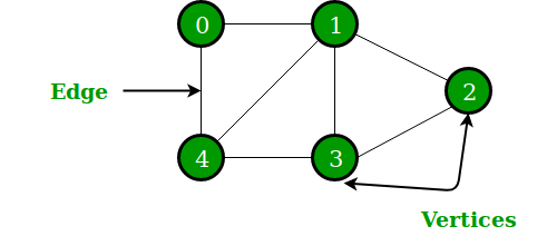
그래프는 자료구조의 일종으로 **정점(Node, Vertex)**과 **간선(Edge)**로 이루어져있다. 간선은 정점간의 관계를 나타내며, 정점 사이를 연결한다.

G = (V,E) 로 나타낸다.
일상생활에서 그래프를 예로 들어보면,
지하철 역 : 정점 / 역사이 : 간선
교차로 : 정점 / 도로 : 간선
페이스북 사람 : 정점 / 팔로우 : 간선
이 있다.
비선형구조란 i번째 원소를 탐색한 다음 그 원소와 연결된 다른 원소를 탐색하려고 할 때, 여러 개의 원소가 존재하는 탐색구조를 말한다. 그래프 도 비선형 구조이다.
용어
노드(Node) or 정점(Vertex)
간선(Edge) or 링크(link): 정점간의 관계
경로(Path) : 정점 A에서 B로가는 경로
자동차 네비게이션 빠른길 찾기(최단 경로)
사이클(Cycle) or 회로 : 정점 A에서 다시 A로 돌아오는 경로 (시작 노드 == 도착 노드)
단순 경로와 단순 사이클 : 같은 정점을 두번 이상 방문하지 않는 경로/사이클
일반적으로 사용하는 경로와 사이클은 단순 경로/사이클이다.
Directed Graph(방향 있는 그래프)
Undirected Graph(방향 없는 그래프 ) == Bidirection Graph(양방향 그래프)
A-E는 A→E와 E→A를 나타낸다.
양방향 그래프는 모두 Directed Graph로 변경해서 문제를 풀 수 있다.
일반적으로 그래프라하면 방향이없는 그래프를 말하는 것이다.

Multiple Edge : 두 정점 사이에 간선이 여러 개일 수도 있다.
a-c는 연결하는 간선이 2개이다.
두 간선은 서로 다른 간선이다.

Loop(루프) : 간선의 양 끝 점이 같은 경우(4번)

가중치(Weight) : 간선에 가중치가 있는 경우이다.
이동 거리, 이동하는데 필요한 시간, 필요한 비용 등등등
가중치가 없는 경우에는 1이라고 생각하면된다.

차수(degree) : 정점과 연결되어 있는 간선의 개수이다.
위의 가중치 그림으로 예를 들어보자면
1의 차수 : 2
2의 차수 : 4
Directed Graph의 경우에는 차수가 두가지가 있다.
in-degree(정점으로 들어오는 간선의 수)
out-degree(정점에서 나가는 간선의 수)
그래프의 표현
그래프의 표현은 그래프를 저장하는 방식이다. 이때 정점의 수는 정수로 저장하게 되고, 간선은 정점 사이의 관계를 저장한다. 그러므로 간선을 저장하는 것이 그래프를 저장하는 것이다.

보통 알고리즘 문제에서는 첫째 줄에 정점의 개수(n)과 간선의 개수(m)을 입력 받고 간선의 개수만큼 둘째 줄부터 간선의 정보를 입력 받는다.
방향이 있는 그래프라면 인접행렬은 비대칭이다.
인접 행렬(adjacency matrix)
그래프에서 정점(node)과 간선(edge)들의 연결관계를 정사각 행렬로 표현한 것이다.
그래프 G = (V, E)를 n >= 1(n은 정점이 수)의 정점의 가진 그래프라고 하였을 때 그래프 G에 대한 인접행렬의 크기는 n * n이며 a[n, n] 크기의 2차원 배열로 표현된다. 이때 a[n, n]에서 a[i, j] ∈ E(G)라면 1값을 아니라면 0의 값을 가지게 된다.

가중치 없는 경우
정점의 개수를 V개라고 했을 때, V*V 크기의 이차원 배열을 이용한다.
Undirected Graph 에서는
A[i][j] == A[j][i]이다.없는 간선도 저장하기 때문에 잘 사용하지 않는다.(쉬운 문제를 풀 때 사용)
가중치 있는 경우
가중치가 있을 경우에는 가중치도 같이 저장해주면된다.
만약 가중치가 0<=w일 경우에는 간선이 없는 경우에는 -1을 저장해주면된다.
하지만 가중치의 범위가 정수라면! 1. 간선의 존재 여부(1,0)를 저장하는 배열 2. 가중치 정보를 저장하는 배열 을 조합해서 사용할 수 있다.
공간복잡도
O(V^2)
시간복잡도
어떤 노드 v에 인접한 모든 노드 찾기 O(n)시간
어떤 에지(u,v)가 존재하는지 검사 O(1)
인접 리스트(adjacency list)
인접행렬은 표현할 때 연결되지 않았던 부분까지 모두 표현이 된다. (연결되지 않은 부분을 0으로 표현한다.) 알고리즘을 구현할 때에도 0까지 모두 조사를 해야하므로 효율이 떨어지는 경우가 많은데 인접리스트는 이러한 단점을 극복한다.
std::vector()를 이용하여 간단하게 구현할 수 있다. ( vector 알아보기 )이때 인접행렬로 구현하는 것보다 공간을 적게 사용한다. 각 정점에서 연결되는 리스트의 순서는 중요하지 않다.
가중치 없는 경우(c++)
linked list를 이용해서 구현한다. 이 때 A[i]는 i와 연결된 정점을 linked list로 포함하고 있다.(i와 연결된 정점이 총 몇개인지 알 수 없기 때문이다.)
이때 연결된 정점을 저장하므로 간선을 나타내게 된다. 모든 간선이 한번 씩 저장(O(E)=간선의 수)된다.
vector로 구현하기
그런데, linked list는 구현하는데 시간이 오래걸리기 때문에, 주로 vector와 같이 길이를 변경할 수 있는 배열을 이용해서 구현한다.
주의할점이 한가지 있다. cpp에서 vector의 표현에 주의해아한다.
vector<int> a(10)은 크기가 10인 1차원 배열을 의미한다. (=int a[10])vector<int> a[10]은 int a배열이 10개가 있다는 것을 의미한다.
가중치 없는 경우(c)
가중치 있는 경우
A[i]는 i와 연결된 정점과 그 간선의 가중치를 linked list로 포함한다. 이때 vector 컨테이너의 타입으로 pair를 사용한다.( pair 알아보기 )
공간복잡도
O(E)
시간복잡도
어떤 노드 v에 인접한 모든 노드 찾기 O(degree(v))
어떤 엣지(u,v)가 존재하는 지 검사 O(degree(u))
간선 리스트
STL, array list를 사용할 수 없는 경우에는 간선리스트로 그래프를 저장할 수 있다.
간선리스트는 배열을 이용해서 구현하며, 간선을 모두 저장한다.
앞 정점을 기준으로 정렬
각 간선의 앞 정점을 기준으로 개수를 센다.
cnt[i]
0
2
2
2
3
3
각 정점의 간선수의 누적합을 구한다.
cnt[i]
0
2
4
6
9
12
i번과 연결된 간선은 E[cnt[i-1]]부터 E[cnt[i]-1]까지 이다.
3번과 연결된 간선은 E[4]~E[6-1]까지
공간복잡도
O(E)
참조페이지
Last updated